化粧品原料CMOL B044
セルモリス B044の特徴
- 非常に低刺激性のノニオン性界面活性剤です。
- 洗浄性、起泡力に優れます。
- 透明性に優れます。
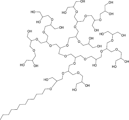
化学構造式

ポリグリセリル-20 ラウリルエーテル
セルモリス B044のタンパク質変性率
各活性剤濃度10mMのタンパク質変性率(%)

製品情報
| 製品名 | セルモリスB044 |
|---|---|
| Product Name | CELMOLLIS B044 |
| 表示名称 | ポリグリセリル-20 ラウリルエーテル、水 |
| INCI Name | Polyglyceryl-20 Lauryl Ether, water |
| 已使用化妆品原料名称目录(2015版) | – |
| 外原規成分名 | – |
| 入り目 / Net weight | 20kg |
| 荷姿 / Packing | ポリ缶 |
| 形状 / Form | 液体 |
| 特徴 / Characteristics | – |