化粧品原料PGLE ML10
PGLE ML10の特徴
PGLE ML10は乳化剤、分散剤、起泡剤および洗浄剤として応用できる非イオンタイプのポリグリセリン脂肪酸エステルです。他社製品と比較してモノエステル化率が高いため、優れた起泡性、洗浄性を示します。
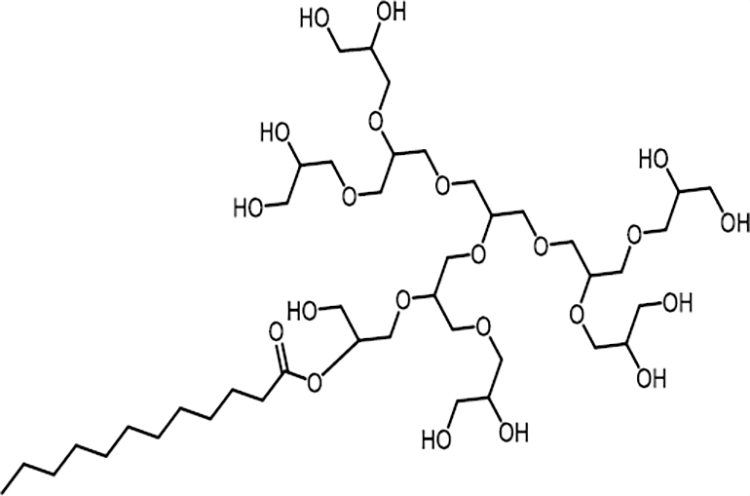
ラウリン酸ポリグリセリル-10の化学構造式

ラウリン酸ポリグリセリル-10
デカグリセリンラウリン酸エステルの組成比較(%)

界面活性剤の洗浄力
洗浄力試験法:リーナッツ試験法(JIS K3370)

<The surfactant>
- 他社品 デカグリセリンモノラウレート
- AE-6 : hexaoxiethylene lauryl ether ポリ(ヘキサ)オキシエチレンラウリルエーテル
- C12OOK : Potassium laurate ラウリン酸カリウム
- LAS : Sodium alkylbenzene sulfonate(Linear)直鎖アルキルベンゼンスルホン酸ナトリウム
- SDS : Sodium lauryl sulfate ドデシル硫酸ナトリウム
タンパク質変性試験
PGLE ML10は非イオンタイプの界面活性剤であるため、アニオンタイプや両性タイプの界面活性剤と比較して刺激性が低いことがわかります。

製品情報
| 製品名 | ポリグリセリン脂肪酸エステル ML10 |
|---|---|
| Product Name | Polyglycerin Fatty Acid Ester ML10 |
| 表示名称 | ラウリン酸ポリグリセリル-10 |
| INCI Name | Polyglyceryl-10 Laurate |
| 已使用化妆品原料名称目录(2015版) | 聚甘油-10 月桂酸酯 |
| 外原規成分名 | – |
| 入り目 / Net weight | 200kg/18kg |
| 荷姿 / Packing | ドラム/缶 |
| 形状 / Form | 液体(粘性) |
| 特徴 / Characteristics | – |